While awaiting the introduction of the new property taxation system in 2020, we would like to remind you about the Local Maintenance Tax on land without buildings, which remains in effect until the end of the year.
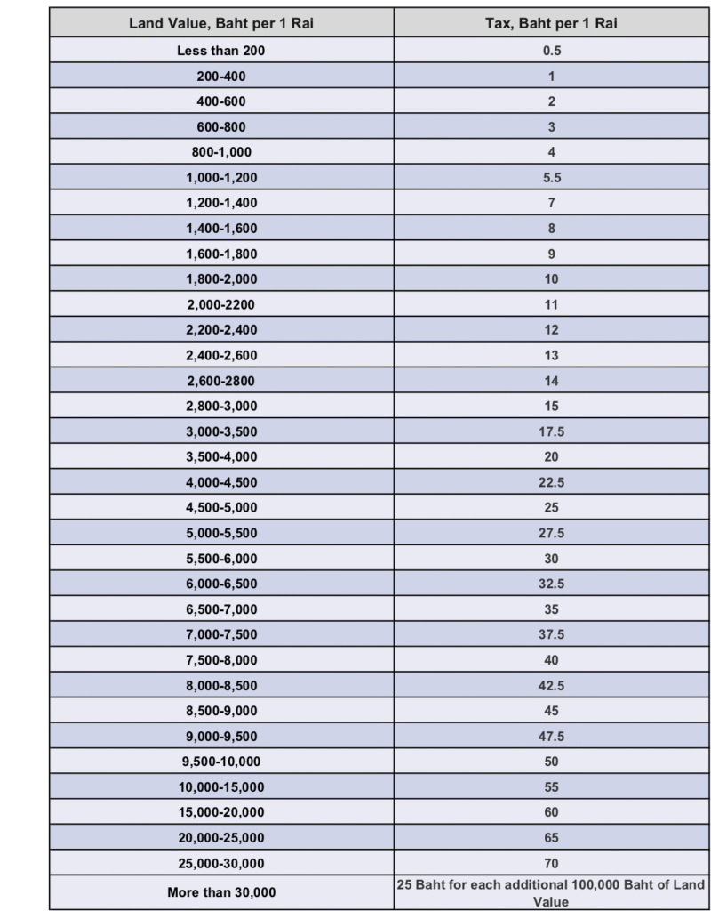
- The tax rate is progressive
- It depends on the value of the land plot
- The rate ranges from 0.25% to 0.95% per year
If your auditor calculates small taxes at the end of the year for a company that is not operating but owns a land plot, it is likely that this tax is being referred to.

If the additional value per rai is less than 5,000 THB, the tax does not increase.
If it exceeds 50,000 THB, an additional 25 THB is added.
Examples:
- If the land value is 50,000 THB per rai, the tax is 120 THB
- If the land value is 51,000 THB per rai, the tax remains 120 THB per rai
- If the land value is 58,000 THB per rai, the tax increases to 145 THB per rai
Author: Alexandra Agapitova.
All rights reserved.
Copying and use of materials without written permission of the owner is prohibited.